
Month: May 2014
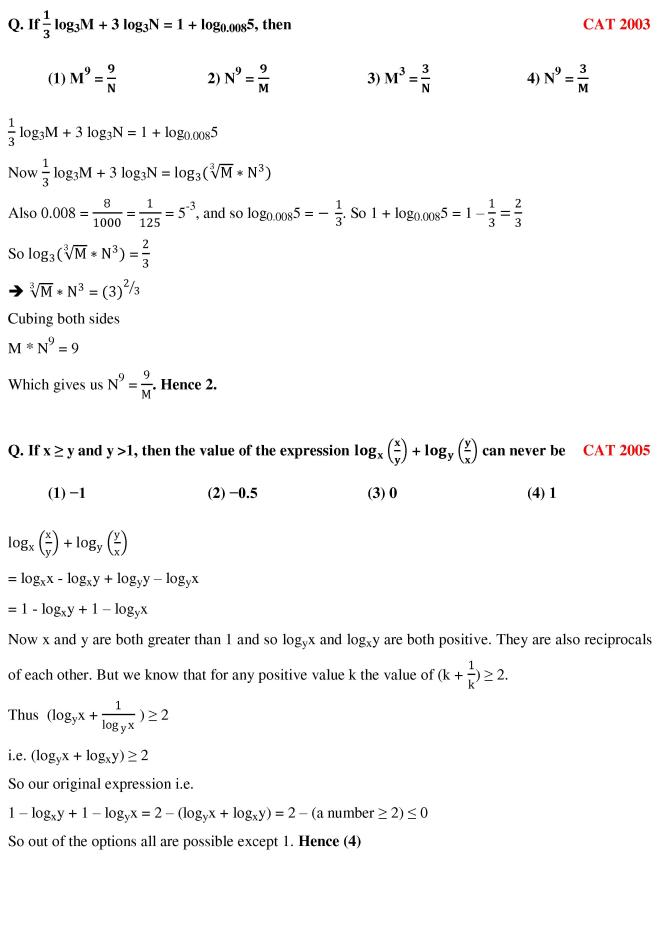
Algebra – 1

Words of a Feather

3 Reasons To Overcome Your Fears And Take SimCAT 1
We are on the eve of SimCAT 1 and a lot of students (mostly first-time CAT-takers) are apprehensive, understandably so, about taking it.
Over the years we have found the self-same reasons that induce this fear, and this post is geared towards addressing them.
#1: I Have Not Finished The Concepts Yet – CAT is not about concepts alone!
This is probably the biggest reason why first-time CAT-takers who have just joined prep are hesitant to take the first SimCAT. They tell themselves that they will start taking tests once they finish learning the concepts.
Firstly, this is not a school/college test where taking a test means memorising formulae from a book and reproducing them in an exam.
Cracking the CAT is only 50 percent about knowing concepts, 50 percent is knowing how to take a test — managing the 70 minutes of a section, gauging the difficulty of questions and choosing the right questions to solve.
Test-taking is a skill that can be honed only through taking as many SimCATs as possible. So if you decide to skip a few SimCATs till you have covered the concepts, you might still perform poorly whenever you take your first SimCAT since you do not know how to take a test!
So even if you feel you do not know a thing, go ahead, take the test and solve whatever you can!
#2: I Do Not Want To See A Poor Score – CAT is all about percentile not score!
There is nothing called a poor score, as only percentiles matter.
Those who are re-taking the CAT would be aware that in CAT 2013, a test-taker with a score of 0 would have got the 55th percentile. Imagine, even if you slept through the whole test you would still have done better than 55 percent of the test-takers!
One of our students attempted only 16 questions in each of the sections and secured a 99.89 percentile (and an admit into IIM-C).
So, even if you attempt only 12 questions and get 10 questions right on SimCAT 1, you will still get a respectable percentile on your first outing.
#3: CAT Is Tough And Am Not Really Aiming At CAT – CAT is the bulls-eye on the Dart Board
Most students want to do an MBA from a decent school and are probably looking at cracking tests that have a reputation of being easier than the CAT.
If you imagine all the MBA entrance tests in India to be stacked up on a dart board, then CAT is the bulls-eye. And anyone who has ever tried his/her hand at darts would know that you should always practice by aiming at the bulls-eye.
By giving your best shot at CAT you automatically put yourself in a position to maximize your chances on the non-CAT tests for there are very few people who prepare for the CAT alone. Serious aspirants would be aiming at the IIMs and taking other tests as a back-up, so even if you do not aspire to ace the CAT, you will be competing with those who do and having prepared for it they will give you a run for your money on the non-CAT tests.
If there is one thing that all test-takers should keep in mind during the whole test-taking season it is this — Never Miss A SimCAT.
SimCATs offer you the best possible simulation of the CAT in terms of test-structure and level of difficulty, so you should always be not just ready but greedy to take a SimCAT.
All the best!
Logs – 10

Logs – 9

Dracula

Logs – 8

Logs – 7

Confusions – Answers
